Não é novidade que os empréstimos secretos e ilegais da Proindicus, EMATUM e MAM tornaram a Dívida Pública do nosso País insustentável. O que o povo não sabe é que além da dívida externa os sucessivos Governos do partido Frelimo têm vindo a contrair dívida interna em evidente competição com o sector produtivo no acesso ao financiamento. Aliás, durante o ano de 2015 o Governo de Filipe Jacinto Nyusi chegou mesmo a fazer dívida, através da emissão de Bilhetes do Tesouro(BT) no montante de 8,2 biliões de meticais “sem suporte legal”. Já no ano passado o Executivo voltou utilizar os BT´s até ao máximo para o Estado poder pagar as suas contas.
Na década passada, enquanto a economia moçambicana era uma das mais atrativas de África, graças ao seu crescimento rápido, inflação baixa e ao enorme fluxo de investimento directo estrangeiro, o Governo do partido Frelimo, na altura sob a batuta de Armando Emílio Guebuza, vendo que a Dívida Pública atingira, em 2006, o seu valor absoluto mínimo dos últimos 15 anos, decidiu começar a voltar a endividar o País.
“De cerca de 3,5 biliões de dólares norte-americanos em 2006, o stock atingiu cerca de 8,6 biliões de dólares em 2014. Portanto, em cerca de nove anos, a dívida praticamente triplicou(…) Para além do crescimento significante, a Dívida Pública registou mudanças na sua composição”, constata um artigo da economista moçambicana Fernanda Massarongo inserido na publicação do Instituto de Estudos Sociais e Económicos (IESE) “Desafios para Moçambique 2016”.
Este aumento, segundo a economista, está relacionado com o crescimento da Dívida Pública comercial, “de cerca de 30 milhões de dólares norte-americanos em 2008, o stock da dívida externa comercial aumentou para cerca de 1,5 bilião de dólares norte-americanos em 2014(sem contabilizar as dívidas da Proindicus e Mozambique Asset Managment). Por outro lado, a dívida interna comercial que já vinha crescendo significativamente desde 1999 aumentou de cerca de 300 milhões de dólares norte-americanos em 2006 para próximo de um bilião de dólares em 2014. Isto significa que a dívida interna praticamente triplicou”.
No artigo, intitulado “Estrutura da Dívida Pública em Moçambique e a sua relação com as dinâmicas de acumulação”, Fernanda Massarongo, entre várias constatações, nota “um maior uso de Bilhetes do Tesouro e, consequentemente, o crescimento do seu serviço da dívida. Se se incluir o serviço da dívida resultante da amortização de Bilhetes do Tesouro no serviço da dívida total, verifica-se que o mesmo aumenta exponencialmente”.
“De cerca de nove biliões, o valor do serviço da dívida fica aos 31 biliões de dólares norte-americanos. Tal deve-se ao facto de os Bilhetes do Tesouro serem dívida de curto prazo, que é normalmente liquidada na totalidade em menos de um ano”, refere a economista.
Bilhetes do Tesouro sem suporte legal e diploma exarado depois do prazo
Porém, o banco central observa, nos últimos dois anos, “uma maior utilização líquida de BT pelo Estado, cujo limite tem sido ajustado em função das necessidades do Tesouro. Adicionalmente, o valor utilizado tem estado a transitar de forma recorrente de um ano para o outro, desvirtuando o princípio de financiamento à tesouraria, deste modo, evidenciando-se a presença de dominância fiscal. A combinação destes factos pode, por um lado, comprometer a gestão de liquidez pelo BM e, por outro, resultar numa fonte de monetização do défice orçamental”, refere o Banco de Moçambique(BM) num estudo apresentado durante o seu 41º conselho consultivo, e por isso julga imperativo a revisão da sua Lei Orgânica para que a instituição tenha mais independência na sua relação com o Governo.
Os BT são instrumentos de financiamento do Estado e de intervenção monetária, que são emitidos pelo Banco de Moçambique, no quadro das medidas de política monetária, para financiar défices temporários de Tesouraria do Estado, originados pela sazonalidade da receita fiscal ou eventuais atrasos nos desembolsos dos parceiros de cooperação
Nos termos da alínea a) do artigo 6 do Regime Jurídico dos Bilhetes de Tesouro, é delegada, no Ministro das Finanças, a competência para fixar, por diploma ministerial, o montante máximo de Bilhetes do Tesouro a ser utilizado durante o exercício económico.
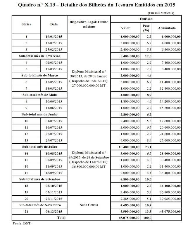
Só em 2015, de acordo com o Relatório do Tribunal Administrativo(TA) sobre a Conta Geral do Estado(CGE) desse ano, o Executivo emitiu BT´s acima de 45 biliões de meticais, todavia “o Diploma Ministerial n.º 118/2015, de 31 de Dezembro, do Ministro da Economia e Finanças, que determina o limite de 45.075.000 mil Meticais de BT`s, foi exarado depois do prazo, fixado em 30 de Setembro de cada ano, nos termos da alínea b) do artigo 6 do Decreto n.º 22/2004, de 7 de Julho”.

Ademais, “Da análise preliminar da informação disponibilizada pela Direcção Nacional do Tesouro, apurou-se que as emissões de BT´s, dos dias 27/11/15 e 04/12/15, nos montantes de 2.285.000,00 mil Meticais e 5.990.000,00 mil Meticais, respectivamente, totalizando 8.275.000 mil Meticais, foram realizadas sem suporte legal, contrariando, deste modo, o princípio da legalidade fixado na alínea b) do artigo 4 da Lei n.º 9/2002, de 12 de Fevereiro, o qual determina a observância integral das normas legais vigentes”, detectou o Tribunal que fiscaliza as contas do Estado.
Bilhetes do Tesouro usados até ao máximo em 2016 para o Estado poder pagar contas
No conselho consultivo que decorreu há poucas semanas na cidade da Matola o Governador do BM, Rogério Zandamela reconheceu que “temos um problema de despesa pública num ambiente em que as receitas são baixas” e revelou que também durante o ano de 2016 o Executivo de Filipe Nyusi usou e abusou da emissão dos Bilhetes do Tesouro.
“(…)O Estado pela primeira vez fez desde a Independência que eu saiba, teve que recorrer a instrumentos do banco central para poder financiar as próprias contas, não houve ilegalidade, são instrumentos previstos na Lei Orgânica do Banco de Moçambique para serem activados em situações excepcionais ou de transição. E esses instrumentos foram todos accionados em 2016 para estar seguro que o Estado ia pagar as contas, senão de outro modo as contas não teriam sido pagas e a realidade teria sido diferente, foram utilizados até ao máximo”, admitiu Zandamela.
Fernanda Massarongo, que é investigadora do IESE em Macroeconomia, chama atenção no seu artigo que o Estado ao fazer dívida comercial interna, através da emissão dos Bilhetes do Tesouro, está também a competir com outros sectores da economia, nomeadamente o produtivo, que recorrem aos bancos comerciais nacionais para o financiamento das suas actividades.
Esta competição entre o estado e o sector empresarial privado foi assinalada no 41º conselho consultivo do banco central pelo economista e vice-presidente da Confederação das Associações Económicas, Eduardo Sengo, que afirmou que “na calada da noite o Governo vai endividar-se e ninguém vê”.
No seu artigo, escrito antes de 2016, a economista do IESE alerta para o facto que “existe o actual stock de dívida interna cujas obrigações estão a vencer e têm de ser amortizadas. Por exemplo, até 2019, o Governo deve pagar cerca de 21 biliões de meticais em Obrigações do Tesouro, para além de juros adjacentes”.