Há um abismo entre o salário dos deputados e o vencimento mínimo nacional. Os representantes do “povo”, na casa que se diz ser sua, ganham, no mínimo, 68.273,50 meticais. Isto é, um pouco mais do que 27 vezes o valor pecuniário que é pago ao cidadão que menos ganha no país.
A Assembleia da República, rosto da democracia e da representatividade dos moçambicanos, tem pessoas a ‘trabalhar’ para o povo cujo vencimento é mais de 34 vezes superior ao ordenado mínimo nacional. Os deputados auferem, no escalão mais baixo, cerca de 68 mil meticais, mas podem ganhar muito mais.
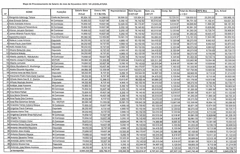
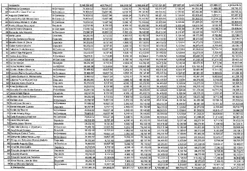
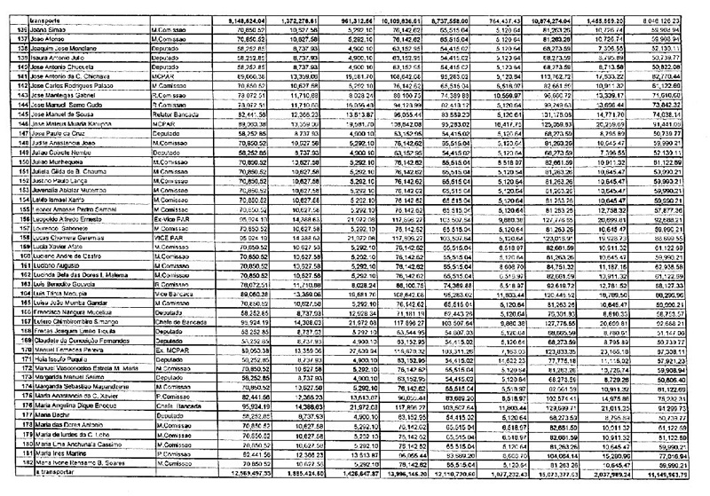
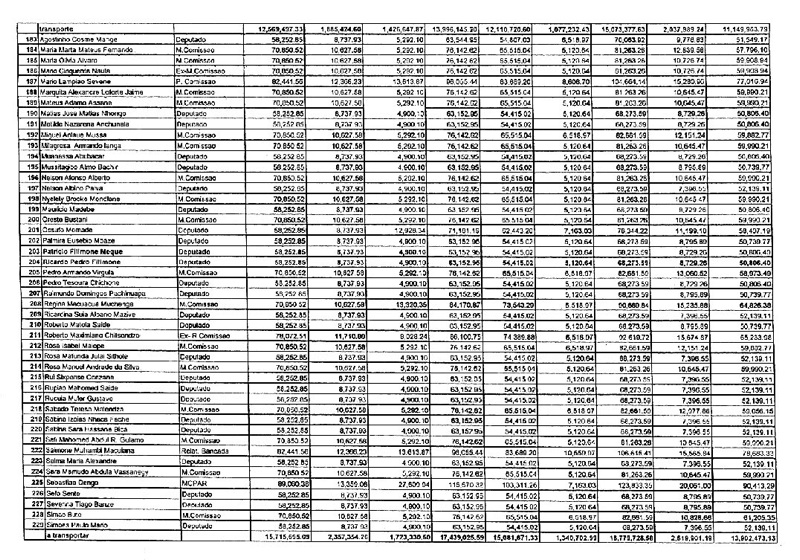
Efectivamente, os ganhos dos deputados no que ao salário diz respeito são parcialmente públicos. Ou seja, o cidadão sabe na generalidade quanto um deputado aufere. No entanto, o @Verdade teve acesso, através de fontes bem posicionadas na Contabilidade Pública, a uma folha de salários.
Os dados disponíveis, antes da publicação do documento que pode ser consultado nestas páginas, falam de 50 mil meticais para simples deputados, 60 mil para chefes de comissão, 70 mil para os membros da comissão permanente. Quanto aos chefes das bancadas parlamentares e vice-presidentes da Assembleia da República os mesmos, de acordo com dados pouco precisos, estavam fixados em 80 e 90 mil meticais, respectivamente.

O deputado simples ganha 50 mil meticais e tem 4.900 meticais de despesas de representação e outros 5000 de compensação salarial. Já o deputado que é membro de uma comissão recebe 76 mil meticais. Mas se pensam que este valor é inferior, lembrem-se que ainda se vai juntar os 5.000 de despesas de representação e 7.000 meticais de compensação salarial.
Um vice-chefe de bancada ganha 108.642,08 meticais mais 19 mil de despesas de representação e 7.000 de compensação salarial. Alberto Joaquim Chipande, na folha de salários que o @Verdade cita, ganha 89 mil meticais com mais 27 de representação.
Margarida Talapa, chefe de bancada, aufere 125.924,51 meticais, nos quais se integram 30 mil de representação e 12.725,51 de compensação salarial. Efectivamente, o número total de deputados consome do erário público, em termos de salário base, 17.108.615,77 meticais. Em termos de representação o custo é de quase dois milhões de meticais. Quanto à compensação salarial, a despesa queda-se em 1.445.823,85 meticais.

Em 2010 veio o subsídio de renda
Em 2010 foi estipulado um subsídio de renda, cujo justificação residia na necessidade de ajudar os deputados que arrendam casas na capital do país durante a vigência da legislatura. Os 250 deputados da Assembleia da República beneficiam de mais 12 mil meticais nos seus ordenados mensais, um valor designado subsídio de renda de casa, aprovado pela Comissão Permanente, o segundo órgão mais importante do Parlamento, depois do plenário.

O subsídio de renda de casa, de acordo com o porta- voz da Comissão Permanente, Mateus Katupha, é um valor que deverá ser pago a cada deputado, a partir de 2011, como forma de garantir um alojamento condigno aos deputados, muitos dos quais não têm casa em Maputo, dependendo do aluguer de casas em situações, às vezes, não favoráveis e que atentam à sua dignidade.
“Há colegas deputados que vivem em condições assustadoras”, considerou Katupha. Uma consulta à folha de salários não encontra o referido subsídio de “renda de casa”. O que pode significar que existe uma folha à parte que sobre estes bónus ao salário dos representantes do povo.

Os carros de luxo
Em 2011, através da pena do jornalista Emídio Beúla, o Savana publicou um artigo que demonstrava um gasto de 304.805.827 de meticais na aquisição de viaturas de luxo para os representantes do povo. Ou seja, o Estado compra e distribui.
Cento e quarenta e nove mil deputados escolheram uma carrinha Toyota Hilux 3000, 46 optaram por Nissan Navara 2.5, 34 por Ford Ranger 2.5, oito quedaram-se pelo Toyota Hilux 2.5, seis com o Isuzu KB 2.5, três com Ford Ranger 3000 e dois com os Isuzu KB 3000. São, segundo as contas daquele jornal, no total 304.805.827 meticais que o Estado investiu em meios circulantes para os deputados fiscalizarem o Executivo.


Pelas contas do SAVANA, o Estado desembolsou ou gastou 304.805.827 de meticais (10.8milhões de dólares) pela compra de 248 viaturas de campo para deputados. Dois deputados optaram por comprar pessoalmente as suas viaturas de trabalho, mas o Estado suporta os encargos aduaneiros pela importação.
As contas do SAVANA baseiam-se em preços de cada viatura obtidos na Direcção Nacional do Património. Porém, os preços fornecidos e os praticados no mercado pelos mesmos agentes mostram alguma variação. Por exemplo, o Estado pagou, por cada Nissan Navara 2.5, o valor de 1.020.987 meticais.