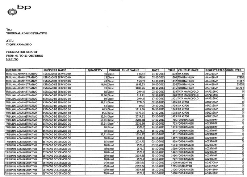
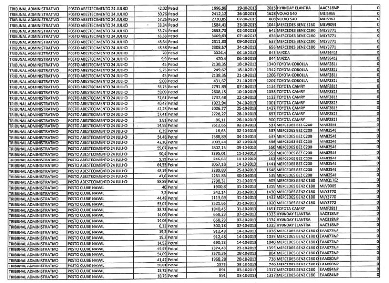
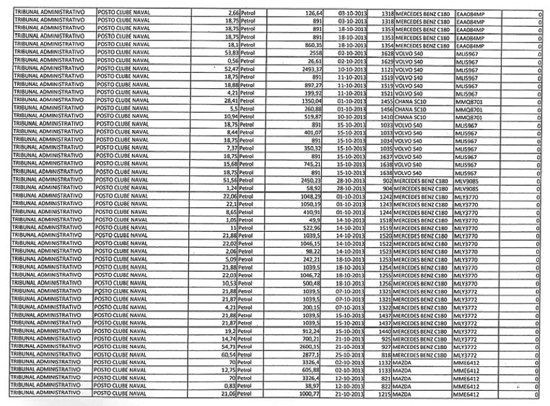
A factura mensal referente aos custos de combustível gasto pelo Tribunal Administrativo (TA) impressiona, e não é só pelos valores. Com efeito, o TA despende cerca de um milhão de meticais mensais no abastecimento dos carros de expediente, juízes conselheiros, chefes de departamento e de transporte do pessoal. Uma das facturas em posse do @Verdade, emitida no dia 12/12/13 pela BP Moçambique revela que – em Outubro do mesmo ano – as viaturas daquele “bastião” da justiça administrativa consumiram 22.281.42 litros (entre gasolina e diesel) no valor de 913.289,440 (novecentos e treze mil, duzentos e oitenta e nove meticais e quatrocentos e quarenta centavos)…
Especificamente, o TA desembolsou 413.144 (quatrocentos e treze mil cento e quarenta e quatro meticais) para 8654,15 litros de gasolina. No que diz respeito ao diesel foram 13.587,27 litros. Uma leitura atenta ao extracto da BP Moçambique revela que não há limites no que diz respeito à quantidade de litros a que cada viatura tem direito.
Por exemplo, o veículo de marca Ford Ranger ACZ abasteceu, nas estações de serviço OK e do Clube Naval, 621,37 litros de diesel, 7.17 porcento do total usufruído pelos carros daquela instituição. No dia 2 de Outubro o automóvel em questão colocou no seu depósito 55,11 litros (2.330,72 meticais). Volvidos cinco dias foi ‘buscar’ mais 60.01 litros (2.208,78 meticais). Voltaram a transcorrer cinco dias para um novo abastecimento. Desta feita, foram 57,91 litros (2.131,56 meticais).

Nos dias 12, 13, 14, 15 e 17 tiveram lugar mais idas às estações de serviço pela viatura Ford Ranger ACZ-970-MP. Vinte e um litros no dia 12 (773,01 meticais), 57,91 litros (2.131,56 meticais) no dia 13. Setenta litros no dia 14 e 15 (2.576,7 meticais). A 17 do mesmo mês saíram da estação de serviço do Clube Naval mais 36,71 litros (1.351,37 meticais). Registou-se, depois, um interregno interrompido no dia 27 com mais 75,51 litros gasolina (2779,34 meticais) e mais 60 que fecharam o mês de Outubro no dia 28 com uma conta de 2.208,6 meticais para o TA pagar. No total 22.872,06 meticais por uma única viatura.

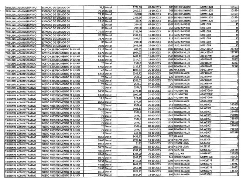
Engana-se, porém, quem julga que se trata de um caso isolado. Uma outra viatura da mesma marca e com a chapa de inscrição ACZ-976- MP teve um consumo maior. Ou seja, 808,29 litros de combustível. Cinquenta e cinco litros no dia 1 de Outubro, 38,52 a 4 do mesmo mês. Setenta no dia 7, 9, 11, 16, 17, 21 e 28. O 4×4 Nissan Urvan com a chapa de inscrição MLZ-92-09, adquirido em 2007 pelo TA, usufruiu de 716,23 litros de diesel em Outubro de 2013. O custo para os cofres do TA foi fixado em 28.499,11 meticais.

Tudo começou no dia 2 com 55 litros (2.029,55 meticais). No dia 7 foram 62,02 litros (2.208,78 meticais). No dia 10 o gasto foi igual ao do último abastecimento, tsto é, 2.208,78 meticais por 62,02 litros. Depois seguiram-se mais 10 abastecimentos. Nenhum abaixo dos 58 litros de diesel. Algumas das viaturas não constam da lista dos veículos do TA em posse do @Verdade, como é o caso da KIA K2700 com a chapa de inscrição ABU-213-MP MP, cujo utente levou para o seu tanque de combustível 288,32 litros de diesel.

Efectivamente, em Moçambique as regalias não são do domínio público. Curiosamente, o Governo alega que está a implementar medidas de austeridade para contornar a crise económica que afecta o país. Com efeito, o Gabinete Central de Combate à Corrupção solicitou, através da nota de referência 40/CART/GCCC/2014, a relação de viaturas alocadas ao TA e as suas respectivas marcas e matrículas.

Os dados solicitados pelo GCCC enquadram-se no âmbito do processo de investigação registado sob o no 30/GCCC/2013. Ou seja, a nota do GCCC, que conta com seis alíneas, requer “a relação de viaturas cadastradas na BP Moçambique com vista ao abastecimento de combustível por via do sistema FUEL MASTER (marca e matrícula). O GCCC também requisita “a relação dos técnicos encarregues do processo de requisição e pagamento de passagens aéreas, aluguer de viaturas e serviços de acomodação”.

Ainda assim… os juízes são os campeões
Lembre-se que o @Verdade reportou o consumo excessivo de combustível por parte dos juízes conselheiros nas edições passadas. Refira-se, por exemplo, que o juiz conselheiro Mujovo Ubisse ocupou folgadamente a primeira posição de acordo com a documentação a que tivemos acesso, referente ao mês de Outubro de 2013. Com apenas três viaturas, um Mercedes Benz E160, um Peugeot 407 e um Toyota Hilux abasteceu os tanques dos seus veículos com 1.399,57 litros, entre gasolina e gasóleo. O levantamento estatístico da factura M13H1630, emitida a 12/12/13, é claro: nenhum outro juiz gastou tanto.

Pormenorizando, Ubisse leva o troféu no que ao consumo diz respeito, seguido de longe pelos conselheiros Rufino Nombora e Januário Guibunda, com 644,33 e 537,21 litros, respectivamente. Estes são dados refrentes a um mês, mas pode-se presumir que a quantidade seja bem maior dado que não há limites no tocante ao abastecimento. Aboobacar Zainadine Dauto Changa, juiz da mesma categoria, também não se coibiu de usufruir das benesses do Estado e levou para o tanque do seu Mercedez Benz E180 527,88 litros de gasolina. O seu colega José Maurício Manteiga não se fez rogado e “abocanhou”, no mês em questão, 475,75 litros.

Direcção Nacional do Património
@Verdade solicitou à Direcção Nacional de Património, no Ministério das Finanças, esclarecimentos em relação ao processo de alienação de viaturas. Volvidos 20 dias ainda não obtivemos nenhuma resposta. Lembre-se que para além dos veículos que o Estado alienou aos juízes conselheiros na frota de viaturas do TA existem 38 veículos entre Honda City, Acet e City 35 alocados aos chefes de departamento e assessores.
Dez viaturas já foram alienadas pelo Estado aos seus usuários e 13 estão em processo. Trata-se de viaturas adquiridas entre 2008, 2009, 2010 e 2011, cujos custos de manutenção e combustível são suportados pelo TA. As chapas de matrícula dos nove Honda City alocados são as seguintes: MLK 91-65, MMS 33-25, MLK 91- 73, MLK 91-57, MMS 33-24, MLW 74-07, MLW 74-83, MLK 91-75 e MLK 91-60. O Honda Acet que deixou de ser do TA por alienação ao usuário ostenta a matrícula AAL-827-MP.
Verificação em curso
@Verdade abordou o secretário-geral do TA, Luís Herculano, em relação às viaturas de que os funcionários beneficiam por via da alienação das mesmas pelo Estado. Na entrevista concedida ao @Verdade, Herculano exigiu que lhe apresentássemos as matrículas e modelos dos veículos. A nossa equipa apresentou as chapas de inscrição.
No entanto, o nosso interlocutor solicitou que o pedido de esclarecimento fosse reduzido a escrito. O nosso jornal, prontamente, enviou uma carta nesse sentido no dia 31 do mês passado. E como já decorreram 10 dias, decidimos contactar telefonicamente o TA, na pessoa do seu secretário-geral.
Porém, Luís Herculano fez saber que o processo de verificação das viaturas está em curso e, oportunamente, o jornal terá a resposta por escrito. O mesmo adiantou, sem deixar espaço para prazos, que o processo será “longo” porque, referiu, é necessário descobrir, primeiro, de onde são as viaturas de que o @Verdade solicitou informação. Lembre-se que o nosso jornal apresentou trechos da folha de salários dos funcionários do TA e o valor que lhes é descontado pelas viaturas.
Refira-se, contudo, que o @Verdade submeteu uma carta no passado dia 31 do mês de Março ao TA com o intuito de obter informações detalhadas em torno das viaturas alienadas e os critérios observados para tal procedimento. A pedido do TA, a missiva foi acompanhada das chapas de inscrição das viaturas alienadas pelo seus funcionários. Duas semanas depois, o Jornal @Verdade voltou a contactar o secretário-geral do TA, Luís Herculano, para saber como está a decorrer o processo de verificação.
“O processo de verificação ainda está em curso, em breve o tribunal irá pronunciar-se sobre o caso pelo mesmo meio usado pelo jornal”, disse. Questionado sobre o tempo que o processo levará, aquele quadro superior respondeu que não havia previsões por se tratar, no seu entender, de “viaturas que não pertencem ao TA. Precisamos de saber de onde são as viaturas”.